Density Copper And Lead . Perfect for engineers, manufacturers, and metal enthusiasts. A cubic foot of iron would weigh 491 lb. the density of common metals such as iron is 7.87 g/cm3, mild steel is 7.85 g/cm3, 304 stainless steel is 8.0 g/cm3, aluminum is. did you notice that copper is denser than iron? the typical density of common metals can be found listed in the table below. density of common engineering materials and metals. If you find this article useful then please like, share and comment. Density is defined as the mass per volume. Ρ = m / v. densities of metals and elements table. A cubic foot of copper would weigh 559 lb. discover the density of various metals including iron, steel, brass, and aluminum alloys with our comprehensive density table. Density is defined as the mass per unit volume. To see how density of materials is calculated, click here. explore a comprehensive list of density values for pure metals in both si (kg/m³) and us customary (lb/ft³) units.
from bigevo.com
Ρ = m / v. A cubic foot of copper would weigh 559 lb. If you find this article useful then please like, share and comment. Perfect for engineers, manufacturers, and metal enthusiasts. Density is defined as the mass per unit volume. Density is defined as the mass per volume. To see how density of materials is calculated, click here. A cubic foot of iron would weigh 491 lb. density of common engineering materials and metals. the typical density of common metals can be found listed in the table below.
Keyword Density Pengertian, Jumlah Ideal, dan Menerapkannya
Density Copper And Lead the density of common metals such as iron is 7.87 g/cm3, mild steel is 7.85 g/cm3, 304 stainless steel is 8.0 g/cm3, aluminum is. A cubic foot of copper would weigh 559 lb. did you notice that copper is denser than iron? A cubic foot of iron would weigh 491 lb. the typical density of common metals can be found listed in the table below. densities of metals and elements table. Perfect for engineers, manufacturers, and metal enthusiasts. Ρ = m / v. To see how density of materials is calculated, click here. discover the density of various metals including iron, steel, brass, and aluminum alloys with our comprehensive density table. Density is defined as the mass per unit volume. If you find this article useful then please like, share and comment. density of common engineering materials and metals. the density of common metals such as iron is 7.87 g/cm3, mild steel is 7.85 g/cm3, 304 stainless steel is 8.0 g/cm3, aluminum is. Density is defined as the mass per volume. explore a comprehensive list of density values for pure metals in both si (kg/m³) and us customary (lb/ft³) units.
From aliyaiwal.blogspot.com
Density Of Copper Density Copper And Lead Density is defined as the mass per volume. density of common engineering materials and metals. A cubic foot of iron would weigh 491 lb. If you find this article useful then please like, share and comment. did you notice that copper is denser than iron? To see how density of materials is calculated, click here. the typical. Density Copper And Lead.
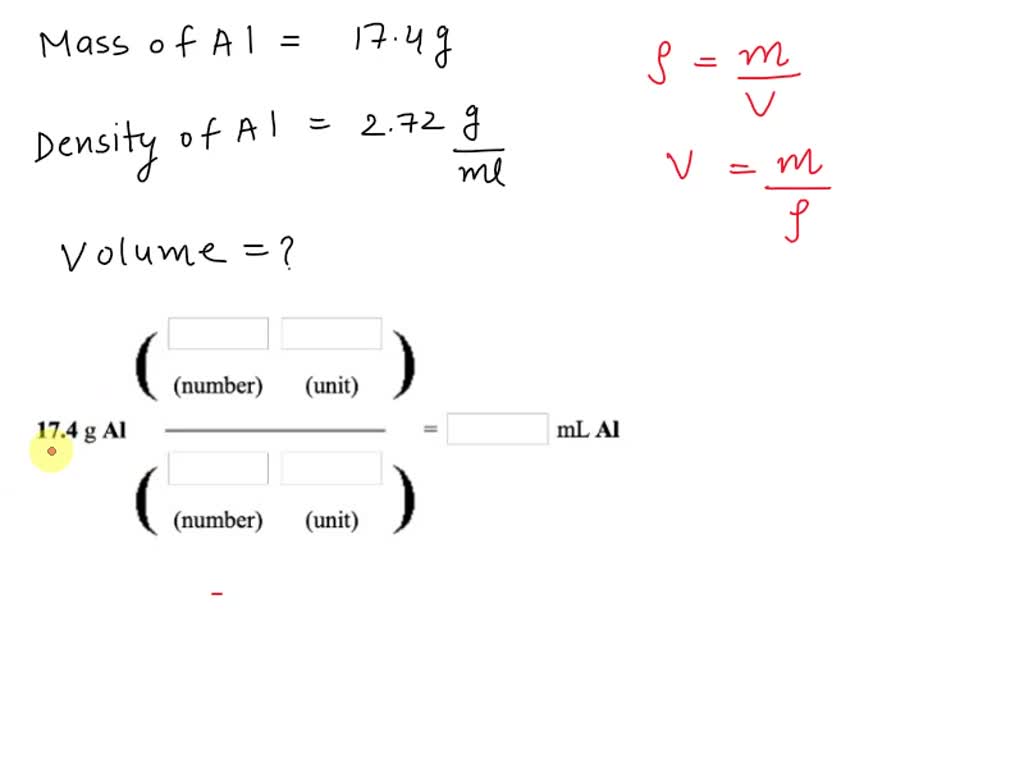
From scoop.eduncle.com
Ee copper has a mass density p =8.95 gm/cm and an electrical Density Copper And Lead To see how density of materials is calculated, click here. Density is defined as the mass per volume. explore a comprehensive list of density values for pure metals in both si (kg/m³) and us customary (lb/ft³) units. Perfect for engineers, manufacturers, and metal enthusiasts. If you find this article useful then please like, share and comment. Density is defined. Density Copper And Lead.
From www.bolton-menk.com
Lead and Copper Rule Revisions Bolton & Menk Density Copper And Lead the typical density of common metals can be found listed in the table below. the density of common metals such as iron is 7.87 g/cm3, mild steel is 7.85 g/cm3, 304 stainless steel is 8.0 g/cm3, aluminum is. A cubic foot of copper would weigh 559 lb. explore a comprehensive list of density values for pure metals. Density Copper And Lead.
From www.chegg.com
Solved Use the interactive to measure the densities of Density Copper And Lead Density is defined as the mass per unit volume. A cubic foot of copper would weigh 559 lb. discover the density of various metals including iron, steel, brass, and aluminum alloys with our comprehensive density table. explore a comprehensive list of density values for pure metals in both si (kg/m³) and us customary (lb/ft³) units. To see how. Density Copper And Lead.
From www.ubuy.co.in
Buy Density Cubes Set Includes 6 Metals Brass, Lead, Iron, Copper Density Copper And Lead Ρ = m / v. explore a comprehensive list of density values for pure metals in both si (kg/m³) and us customary (lb/ft³) units. Perfect for engineers, manufacturers, and metal enthusiasts. densities of metals and elements table. the density of common metals such as iron is 7.87 g/cm3, mild steel is 7.85 g/cm3, 304 stainless steel is. Density Copper And Lead.
From www.semanticscholar.org
[PDF] A Novel Process for Fabricating UltraHigh Coplanarity in Density Copper And Lead Density is defined as the mass per unit volume. Density is defined as the mass per volume. the density of common metals such as iron is 7.87 g/cm3, mild steel is 7.85 g/cm3, 304 stainless steel is 8.0 g/cm3, aluminum is. Ρ = m / v. If you find this article useful then please like, share and comment. Perfect. Density Copper And Lead.
From www.bestplaces.net
Best Places to Live Compare cost of living, crime, cities, schools Density Copper And Lead A cubic foot of iron would weigh 491 lb. A cubic foot of copper would weigh 559 lb. the density of common metals such as iron is 7.87 g/cm3, mild steel is 7.85 g/cm3, 304 stainless steel is 8.0 g/cm3, aluminum is. explore a comprehensive list of density values for pure metals in both si (kg/m³) and us. Density Copper And Lead.
From www.researchgate.net
Color online a Current density versus time for copper deposited from Density Copper And Lead Density is defined as the mass per volume. Density is defined as the mass per unit volume. Perfect for engineers, manufacturers, and metal enthusiasts. discover the density of various metals including iron, steel, brass, and aluminum alloys with our comprehensive density table. Ρ = m / v. the typical density of common metals can be found listed in. Density Copper And Lead.
From www.ubuy.co.in
Buy Density Cubes Set Includes 6 Metals Brass, Lead, Iron, Copper Density Copper And Lead Ρ = m / v. density of common engineering materials and metals. discover the density of various metals including iron, steel, brass, and aluminum alloys with our comprehensive density table. To see how density of materials is calculated, click here. Perfect for engineers, manufacturers, and metal enthusiasts. Density is defined as the mass per volume. the typical. Density Copper And Lead.
From www.kimley-horn.com
A Guide for Lead and Copper Rule Revisions Compliance Density Copper And Lead If you find this article useful then please like, share and comment. explore a comprehensive list of density values for pure metals in both si (kg/m³) and us customary (lb/ft³) units. discover the density of various metals including iron, steel, brass, and aluminum alloys with our comprehensive density table. To see how density of materials is calculated, click. Density Copper And Lead.
From fphoto.photoshelter.com
science chemistry density Fundamental Photographs The Art of Science Density Copper And Lead Perfect for engineers, manufacturers, and metal enthusiasts. To see how density of materials is calculated, click here. Ρ = m / v. densities of metals and elements table. A cubic foot of iron would weigh 491 lb. explore a comprehensive list of density values for pure metals in both si (kg/m³) and us customary (lb/ft³) units. density. Density Copper And Lead.
From induserv.net
FML621 Density Calculator Induserv Density Copper And Lead the typical density of common metals can be found listed in the table below. A cubic foot of iron would weigh 491 lb. densities of metals and elements table. Density is defined as the mass per unit volume. Ρ = m / v. the density of common metals such as iron is 7.87 g/cm3, mild steel is. Density Copper And Lead.
From www.researchgate.net
The temperature dependence of the density of copper. The markers show Density Copper And Lead Density is defined as the mass per volume. the typical density of common metals can be found listed in the table below. densities of metals and elements table. Density is defined as the mass per unit volume. the density of common metals such as iron is 7.87 g/cm3, mild steel is 7.85 g/cm3, 304 stainless steel is. Density Copper And Lead.
From www.bestplaces.net
Best Places to Live Compare cost of living, crime, cities, schools Density Copper And Lead Density is defined as the mass per volume. discover the density of various metals including iron, steel, brass, and aluminum alloys with our comprehensive density table. To see how density of materials is calculated, click here. density of common engineering materials and metals. Ρ = m / v. the density of common metals such as iron is. Density Copper And Lead.
From www.chegg.com
Solved Use unit analysis to show how to calculate the mass Density Copper And Lead the density of common metals such as iron is 7.87 g/cm3, mild steel is 7.85 g/cm3, 304 stainless steel is 8.0 g/cm3, aluminum is. density of common engineering materials and metals. Density is defined as the mass per unit volume. Perfect for engineers, manufacturers, and metal enthusiasts. A cubic foot of iron would weigh 491 lb. A cubic. Density Copper And Lead.
From www.coursehero.com
[Solved] Use unit analysis to show how to calculate the volume occupied Density Copper And Lead densities of metals and elements table. To see how density of materials is calculated, click here. A cubic foot of iron would weigh 491 lb. Ρ = m / v. did you notice that copper is denser than iron? the typical density of common metals can be found listed in the table below. If you find this. Density Copper And Lead.
From www.numerade.com
SOLVED Use unit analysis to show how to calculate the volume occupied Density Copper And Lead Ρ = m / v. the density of common metals such as iron is 7.87 g/cm3, mild steel is 7.85 g/cm3, 304 stainless steel is 8.0 g/cm3, aluminum is. explore a comprehensive list of density values for pure metals in both si (kg/m³) and us customary (lb/ft³) units. density of common engineering materials and metals. did. Density Copper And Lead.
From www.metal-stampingdies.com
Durable Copper Stamped Lead Frame High Precision Progressive Die Processing Density Copper And Lead the density of common metals such as iron is 7.87 g/cm3, mild steel is 7.85 g/cm3, 304 stainless steel is 8.0 g/cm3, aluminum is. To see how density of materials is calculated, click here. A cubic foot of iron would weigh 491 lb. Density is defined as the mass per volume. Density is defined as the mass per unit. Density Copper And Lead.